This is a quick and inexpensive way to isolate your cable modem and WiFi components on battery backup. I scored the APC BEG90M on sale for $20, but it’s easily worth twice.

Don’t get torqued up about the fact that this only has two-prong outlets – that’s the idea. This is only for low-draw components that don’t require dedicated ground, which you’ll start to notice is actually more stuff than you realize.
I keep the cable modem and Airport plugged into this, and leave an extra outlet to charge a laptop or some other incidental device.
The USB charging ports are the perfect touch and are always being used by something; an iPhone, a fitness watch.
There’s no management or insight into the health or operation of the UPS, and you don’t need it. If you really want to manage to that level, buy a more expensive unit. The whole point of this is a quick and clean way to give yourself a buffer when the power dips or otherwise drops out for short periods of time.
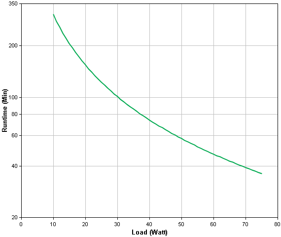
The unit is rated to do 75w for 36 minutes, which represents a full load.
For my specific use case, supporting an Arris 6183 modem and a 6th gen Airport Extreme base station means that in an outage, I have a load of approximately 8w + 11w; let’s just round to 20w for the sake of discussion.
Per the runtime curve for the BEG90M,”short periods of time” for me could be in the neighborhood of two hours. This is excellent.

Good power strips aren’t all that cheap, so you may as well do yourself right and buy this battery. When it goes on sale, buy a few for your relatives for next Christmas.
As far as these things go, this one is a great value. It will keep your core connectivity protected, and keep your laptop and mobile devices on the grid during those times when the real grid gives out.

Nice, I wanted to do this but I didn’t know I could do it affordably.
LikeLike